Что такое полиуретан и пенополиуретан?

Полиуретаны — гетероцепные полимеры, макромолекула которых содержит незамещённую и/или замещённую уретановую группу —N(R)—C(O)O—, где R = Н, алкил, арил или ацил. В макромолекулах полиуретанов также могут содержаться простые и сложноэфирные функциональные группы, мочевинная, амидная группы и некоторые другие функциональные группы, определяющие комплекс свойств этих полимеров. Полиуретаны относятся к синтетическим эластомерам и нашли широкое применение в промышленности благодаря широкому диапазону прочностных характеристик. Используются в качестве заменителей резины при производстве изделий, работающих в агрессивных средах, в условиях больших знакопеременных нагрузок и температур. Диапазон рабочих температур — от −60° С до +80° С.
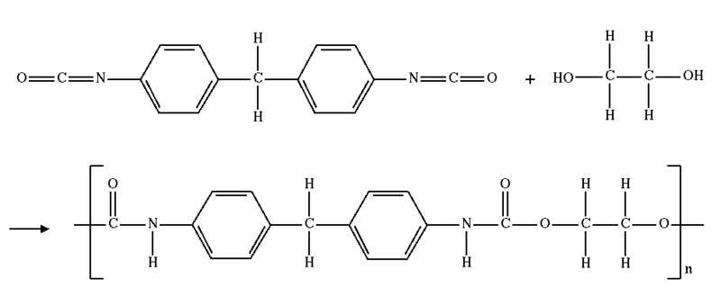
Химическая формула полиуретана

Получение полиуретанов
Полиуретаны получают взаимодействием соединений, содержащих изоцианатные группы с би- и полифункциональными гидроксилсодержащими производными.
В качестве изоцианатов используются толуилендиизоцианаты (2,4- и 2,6-изомеры или их смесь в соотношении 65:35), 4,4'-дифенилметан-, 1,5-нафтилен-, гекса-метилендиизоцианаты, полиизоцианаты, трифенилметан-триизоцианат, биуретизоцианат, изоциануратизоцианаты, димер 2,4-толуилендиизоцианата, блокированные изоцианаты.
Строение исходного изоцианата определяет скорость уретанообразования, прочностные показатели, световую и радиационную стойкость, а также жёсткость полиуретанов.
Гидроксилсодержащми компонентами являются:
- олигогликоли — продукты гомо- и сополимеризации Тетрагидрофурана, пропилен- и этиленоксидов, дивинила, изопрена;
- сложные полиэфиры с концевыми группами ОН — линейные продукты поликонденсации адипиновой, фталевой и других дикарбоновых кислот с этилен-, пропилен-, бутилен- или другими низкомолекулярным гликолями;
- разветвленные продукты поликонденсации перечисленных кислот и гликолей с добавкой триолов (глицерина, триметилол-пропана), продукты полимеризации ε-капролактона.
Гидроксилсодержащий компонент определяет, в основном, комплекс физико-механических свойств полиуретанов.
Для удлинения и структурирования цепей применяются гидроксилсодержащие вещества (например, вода, гликоли, моноаллиловый эфир глицерина, касторовое масло)и диамины (-4,4'-метилен-бис-(о-хлоранилин), фенилен-диамины). Эти агенты определяют молекулярную массу линейных полиуретанов, густоту вулканизационной сетки и строение поперечных химических связей, возможность образования доменных структур, то есть комплекс свойств полиуретанов и их назначение (пенопласты, волокна, эластомеры и т. д.).
В качестве катализаторов для процесса уретанообразования используют третичные амины, хелатные соединения железа, меди, бериллия, ванадия, нафтенаты свинца и олова, октаноат и лауринат олова. При процессе циклотримеризации катализаторами являются неорганические основания и комплексы третичных аминов с эпоксидами.
Свойства
Механические свойства полиуретанов изменяются в очень широких пределах и зависят от природы и длины участков цепи между уретановыми группами, структуры цепей (линейная или сетчатая), молекулярной массы и степени кристалличности. Полиуретаны могут быть вязкими жидкостями или являться твёрдыми веществами в аморфном или кристаллическом состоянии. Их свойства варьируются от высокоэластичных мягких резин (твёрдость по Шору от 15 по шкале А) до жёстких пластиков (твёрдость по Шору 97 по шкале D).
Полиуретан относится к конструкционным материалам, механические свойства полиуретана дают возможность использовать его в деталях машин и механизмов, подвергающихся силовым нагрузкам. К данному виду промышленных материалов предъявляются очень серьезные требования с точки зрения сопротивляемости воздействию агрессивной внешней среды.
Пенополиуретан
Пенополиуретаны (ППУ) - лёгкие, но достаточно прочные пенопласты из полиуретанов, обладают очень низкой теплопроводностью (0,019 — 0,03 Вт/(м·K)), малой паропроницаемостью, высокой адгезией практически ко всему - к бумаге, металлу, древесине, штукатурке, рубероиду и многому другому.
Существуют как двух и более компонентные технологии получения самоотверждаемых пенополиуретанов с различными характеристиками, так и однокомпонентные составы, отверждаемые влагой воздуха (напр., монтажная пена).
Жёсткие пенополиуретаны (ППУ) являются одними из наиболее распространённых на Западе строительных материалов.
Системы напыляемых изоциануратов обладают рядом преимуществ:
- Пониженная горючесть по сравнению с другими системами изоляции.
- Одновременная гидроизоляция, материал не боится влаги, т.е. не требуется дополнительных слоев пароизоляции.
- Тепло- и морозостойкость в диапазоне температур от -100°С до +130°С;.
- Малый вес и отсутствие нагрузки на строительные конструкции.
- Высокая адгезия к различным типам поверхности.
- Монолитная бесшовная поверхность изоляционного слоя.
- Ремонтопригодность.
- Возможность использования как для новых, так и для ремонта старых зданий.
- Удобство транспортировки и хранения.
- Химическая стойкость к слабокислотным осадкам, к промышленным углеводородам.
Из пенополиуретана средней жёсткости делают, например, автомобильные кресла.
Из мягкого пенополиуретана делают ортопедические подушки, матрасы, манекены и пр., а также туристские коврики, седалища и т.п.
Пенополиуретан является негорючим материалом, это более безопасный материал чем дерево. Как правило, в компоненты для получения пенополиуретана уже включены антиперены, которые делают его пожаробезопасным. Закрытые поры пенополиуретана позволяют ему не прогорать сразу на всю глубину.
При написании статьи использованы материалы Википедии и БСЭ.

